Blog List

Friday, 3 March 2017

Stress Recovery during Exposure to Nature Sound and Environmental Noise

Int. J. Environ. Res. Public Health 20107(3), 1036-1046; doi:10.3390/ijerph7031036

Author 


Gösta Ekman Laboratory, Department of Psychology, Stockholm University, SE-106 91 Stockholm, Sweden
*
Author to whom correspondence should be addressed. 
Received: 26 January 2010 / Revised: 20 February 2010 / Accepted: 5 March 2010 / Published: 11 March 2010
(This article belongs to the Special Issue Noise and Quality of Life)
View Full-Text   |     Download PDF [165 KB, uploaded 19 June 2014]   |    
 

Abstract 

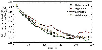
Research suggests that visual impressions of natural compared with urban environments facilitate recovery after psychological stress. To test whether auditory stimulation has similar effects, 40 subjects were exposed to sounds from nature or noisy environments after a stressful mental arithmetic task. Skin conductance level (SCL) was used to index sympathetic activation, and high frequency heart rate variability (HF HRV) was used to index parasympathetic activation. Although HF HRV showed no effects, SCL recovery tended to be faster during natural sound than noisy environments. These results suggest that nature sounds facilitate recovery from sympathetic activation after a psychological stressor. View Full-Text
 Figures

This is an open access article distributed under the Creative Commons Attribution License (CC BY 3.0).

For further details log on website :
http://www.mdpi.com/1660-4601/7/3/1036

No comments:

Post a Comment

Advantages and Disadvantages of Fasting for Runners

Author BY   ANDREA CESPEDES  Food is fuel, especially for serious runners who need a lot of energy. It may seem counterintuiti...