Blog List

Monday, 6 March 2017

Mapping Spatial Distribution of Larch Plantations from Multi-Seasonal Landsat-8 OLI Imagery and Multi-Scale Textures Using Random Forests

Remote Sens. 20157(2), 1702-1720; doi:10.3390/rs70201702

Author

 1,2
 1,2, 1,2
 1,2,3
 1,2,3
 and 
 4

1
State Key Laboratory of Forest and Soil Ecology, Institute of Applied Ecology, Chinese Academy of Sciences, Shenyang 110016, China
2
Qingyuan Forest CERN, Chinese Academy of Sciences, Shenyang 110016, China
3
University of Chinese Academy of Sciences, Beijing 110164, China
4
Key Laboratory of Agri-informatics, Ministry of Agriculture / Institute of Agricultural Resources and Regional Planning, Chinese Academy of Agricultural Sciences, Beijing 100081, China
*
Author to whom correspondence should be addressed. 
Academic Editors: Chandra Giri and Prasad S. Thenkabail
Received: 16 October 2014 / Revised: 23 December 2014 / Accepted: 29 January 2015 / Published: 5 February 2015
View Full-Text   |     Download PDF [39321 KB, uploaded 5 February 2015]   |    
 

Abstract 

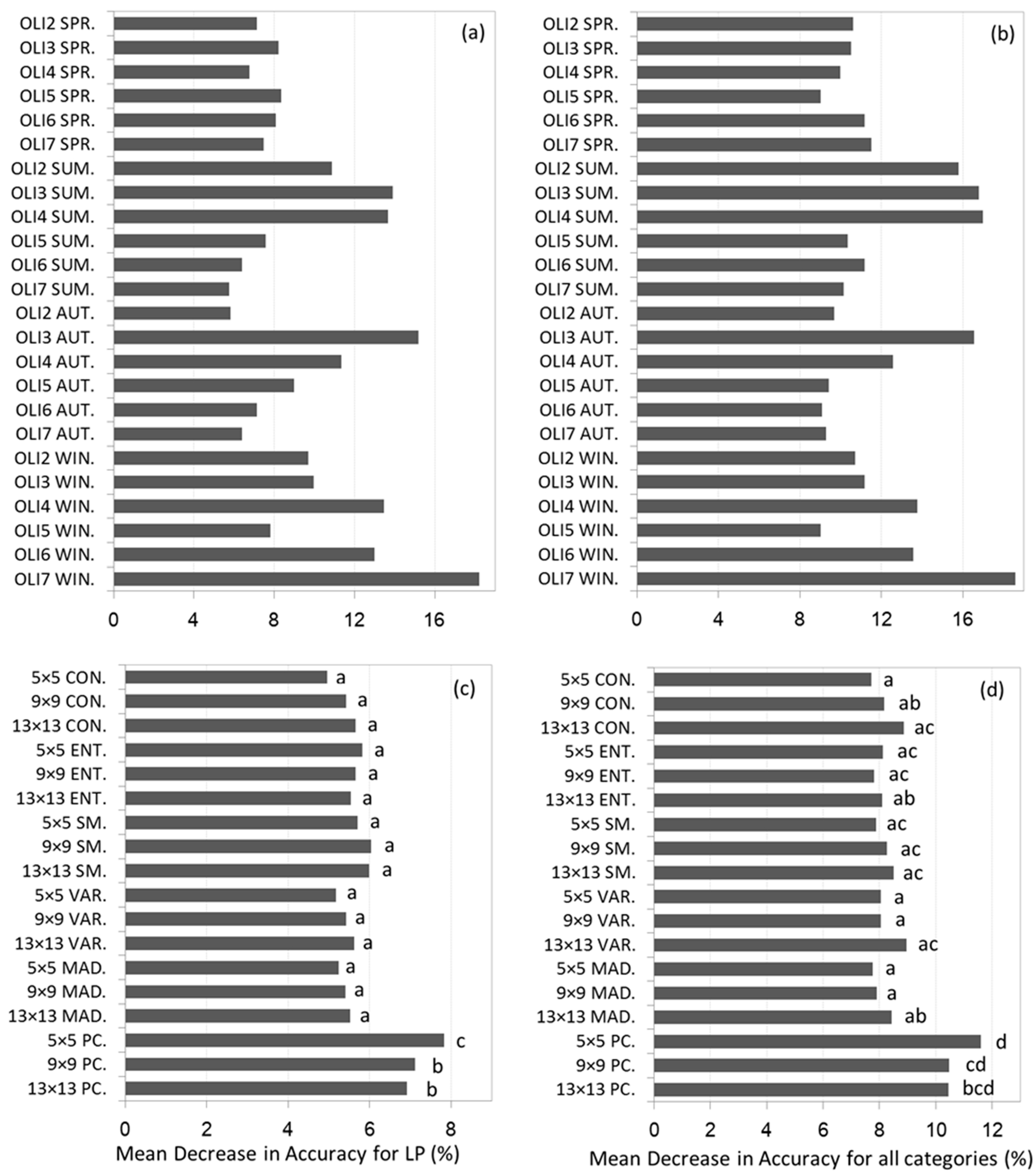
The knowledge about spatial distribution of plantation forests is critical for forest management, monitoring programs and functional assessment. This study demonstrates the potential of multi-seasonal (spring, summer, autumn and winter) Landsat-8 Operational Land Imager imageries with random forests (RF) modeling to map larch plantations (LP) in a typical plantation forest landscape in North China. The spectral bands and two types of textures were applied for creating 675 input variables of RF. An accuracy of 92.7% for LP, with a Kappa coefficient of 0.834, was attained using the RF model. A RF-based importance assessment reveals that the spectral bands and bivariate textural features calculated by pseudo-cross variogram (PC) strongly promoted forest class-separability, whereas the univariate textural features influenced weakly. A feature selection strategy eliminated 93% of variables, and then a subset of the 47 most essential variables was generated. In this subset, PC texture derived from summer and winter appeared the most frequently, suggesting that this variability in growing peak season and non-growing season can effectively enhance forest class-separability. A RF classifier applied to the subset led to 91.9% accuracy for LP, with a Kappa coefficient of 0.829. This study provides an insight into approaches for discriminating plantation forests with phenological behaviors. View Full-Text
 Figures

This is an open access article distributed under the Creative Commons Attribution License which permits unrestricted use, distribution, and reproduction in any medium, provided the original work is properly cited. (CC BY 4.0).

For further details log on website :
http://www.mdpi.com/2072-4292/7/2/1702

No comments:

Post a Comment

Advantages and Disadvantages of Fasting for Runners

Author BY   ANDREA CESPEDES  Food is fuel, especially for serious runners who need a lot of energy. It may seem counterintuiti...